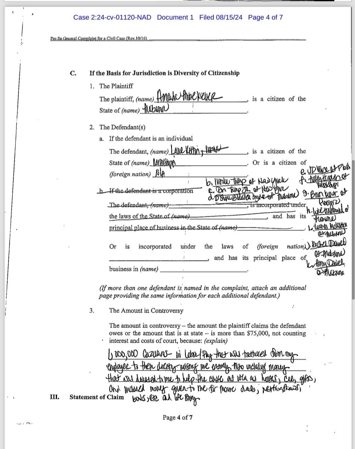
JD Vance Sued For “6 Gazillion Dollars”

A woman in Alabama is suing JD Vance, Ivanka Trump, Donald Trump Jr., and a football coach for “6 gazillion dollars.” Let’s hope justice is served.

Leave a Reply

Popular Posts